Applications Engineer Chris Boyles shows us how SOLIDWORKS can calculate velocity changes and pressure losses in piping.
Round the Bend with SOLIDWORKS Flow Simulation
Calculating velocity changes
and pressure losses in piping by hand is a thing of the past, with SOLIDWORKS
Flow Simulation doing all the hard work for you! In this blog we will take a
look at an S-Bend pipe with a reducer near the end and compare the results
received from SOLIDWORKS Flow Simulation to the hand calculation results. The
start of the pipe is 6.31m above the bottom segment, and it goes through two 45
degree bends before reaching a reducer, which linearly decreases the diameter
of the pipe. The initial pipe is of diameter 1.2m and is 22.66m long before the
reducer. The final piece of pipe is 0.8m diameter and is 5m long, an image of
this can be seen below.

The boundary/initial
conditions used for this case are:
· - An inlet velocity
of 10m/s
·
- A static pressure
at the outlet of 101325Pa
·
- Wall roughness of
9 micrometers
·
- Fluid is water set
to 25°C
·
- K for the pipes
are 9e-5 m*
·
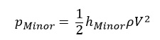
- hMinor
for the elbow bends are 0.13m and for the reduction section is 0.03m*
Where K is the absolute
roughness of the pipe, used to calculate the major losses in the pipe and hMinor
are the minor loss coefficients, which can be found online or calculated.
The mesh used in this study is
a global level 6 initial level of mesh with no local refinement. This gives a
total number of fluid cells of 157183, which the mesh at the outlet of the pipe
can be seen below.

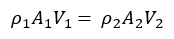
Using the Continuity equation, we can calculate the
theoretical velocity at the end of the pipe:

Where is the density of the fluid, A is the area of
pipe, V is the velocity of the fluid and 1 and 2 represent the inlet and outlet
respectively.
Plugging in the values are rearranging
for the velocity at the outlet of the pipe gives us a theoretical velocity of
22.5m/s.
This is where it gets a little bit more
complicated…
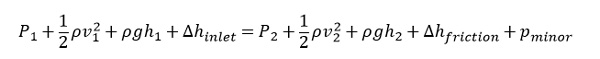
To calculate the pressure drop across the
pipe we now need to use the Bernoulli’s equation.

Where
P is the atmospheric pressure, is the
density of the fluid, V is the velocity of the fluid, g is the acceleration due
to gravity, h is the height of the pipe, is the
pressure head at the inlet, is the friction losses in the pipes, is
the minor losses in the pipes, where 1 and 2 represent the inlet and outlet
respectively.
The only unknowns in the Bernoulli
equation are the pressure head at the inlet as well as the friction and minor
losses in the pipe. Using the following two equations we can calculate the
losses in the pipe and sub them back into the Bernoulli equation to find the
pressure head at the inlet. The pressure losses in the pipe due to friction are
calculated using the following equations.

And the equation for the minor losses is,

Where f is the friction factor, L is the
pipe length, D is the pipe diameter, V is the velocity of the fluid, is the density of the fluid, Re is the
Reynolds number of the flow and K is the absolute roughness of the pipe.
Calculating the major loss in both of the
pipes and the minor losses in all 3 fittings we now have all the variables to
sub in to the Bernoulli’s equation to calculate the pressure head at the inlet.
Which, with a fluid velocity of 10m/s would be 350394.56 Pa.
Running the Flow Simulation in SOLIDWORKS
only takes a few minutes and gives the following results, below are cut plots
through the front plane of velocity and pressure.


Using
surface parameter results on the face of the lid at the inlet and outlet of the
pipe we are able to get the averaged values for pressure and velocity at the
inlet and outlet. Below is a table comparing the SOLIDWORKS Flow Simulation
results to the analytical results.

As you can see there is a
small percentage difference between the analytical results and the SOLIDWORKS
Flow Simulation results, the velocity at the outlet is very accurate, however
there is a slightly larger difference at the inlet. This could be due to the
mesh refinement at the inlet. If we compare the size of the mesh at the inlet
compared to the outlet (below and a few images above) you can see the mesh at
the inlet is coarser, which with refinement would converge on the analytical
results.

Creating the geometry, setting
up the flow simulation as well as meshing and running this study took under
half an hour in total. Whereas the hand calculations took longer, are more laborious,
introduce the opportunity for human error and are significantly less fun to use
than SOLIDWORKS Flow Simulation.
You can find more information
on the Flow Simulation package along with is capabilities on our website:
https://www.solidsolutions.co.uk/solidworks/Simulation/Packages/Flow-CFD.aspx
By Applications Engineer Chris Boyles